🎯 Tu veux la solution pour devenir solide en maths 💪 ? C'est ici : https://hedacademy.fr/p/notre-methodeDans cette vidéo on apprend à dresser un tableau.. Tableau de signes. En mathématiques, un tableau de signes est un tableau à double entrée qui permet de déterminer le signe d'une expression algébrique factorisée, en appliquant la règle des signes et en facilitant l'organisation du raisonnement. Si la forme algébrique est l'expression d'une fonction réelle d'une variable réelle, on.

Fonctions(3) tableau de signe àp du graphe YouTube

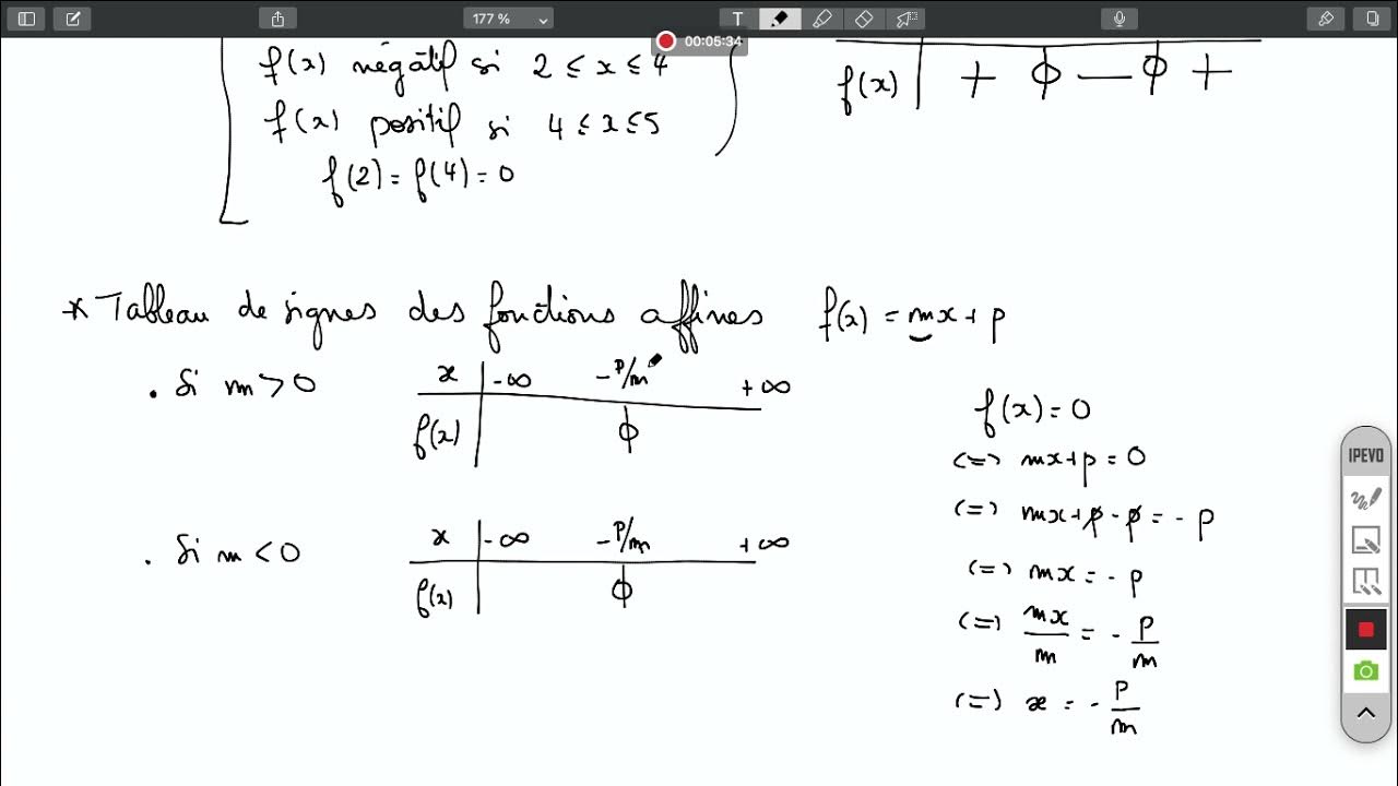
Signe d'une fonction affine YouTube

Fonction affine 8 Resoudre une inéquation avec un tableau de signes YouTube

Chapitre 4 Approche graphique d'une fonction 9 caractéristique 4 tableau de signes YouTube

Tableau de signes à l'aide de la courbe d'une fonction Equations et inéquations Correction

Chapitre 6 Approche graphique d'une fonction Tableau de signes YouTube

Observer le signe d'une fonction à partir de la représentation graphique d'une de ses primitives

Déterminer le tableau de signes d'une fonction par lecture graphique YouTube

Fonctions de référence cours 1ere Mathématiques SchoolMouv

le signe d'une fonction à partir de son tableau de variation* YouTube

Exercice 02 Tableau de signe par lecture graphique Les mathématiques au Lycée Aiguerande

Déterminer le signe d'une fonction sous forme factorisée Second degré (partie 1) forme

Second degré 1ere S Fiche de cours Mathématiques SchoolMouv

tableau de signe d'une fonction polynome du second degré

Comment donner le tableau de signe d'une fonction en ayant que la représentation graphique pour

Tableau de signe fonction du 1er degré théorie YouTube

Tableau récapitulatif du signe d’une fonction polynôme du second degré Logamaths.fr

Signe d'une fonction Définition et étude graphique YouTube

Minutemaths 4 dresser le tableau de signes d'une fonction YouTube
![Tableau de signe d'une fonction affine [Seconde] [Fonctions et suites] YouTube Tableau de signe d'une fonction affine [Seconde] [Fonctions et suites] YouTube](https://i.ytimg.com/vi/L4f7PmDcXMU/maxresdefault.jpg?sqp=-oaymwEmCIAKENAF8quKqQMa8AEB-AHUBoAC4AOKAgwIABABGF4gXiheMA8=&rs=AOn4CLCcN0jm5VfHXRtfIufRSSA13mPLzw)
Tableau de signe d'une fonction affine [Seconde] [Fonctions et suites] YouTube
Méthode. 1. On étudie le signe de 2x-2 en fonction de x et celui de 4x+16 en fonction de x. Pour cela, on cherche les valeurs de x pour lesquelles ces expressions sont positives. Donc 2x-2>0 lorsque x>1 et 4x+16>0 lorsque x>-4. Rappel : < se lit "plus petit que" et > se lit "plus grand que". Remarque : on pourrait aussi chercher les valeurs.. Définition : Signe d'une fonction. Le signe d'une fonction permet de savoir quand la fonction est positive, négative ou nulle. Pour une fonction 𝑓 ( 𝑥) sur un intervalle 𝐼, le signe est positif si 𝑓 ( 𝑥) > 0 pour tout 𝑥 dans 𝐼, le signe est négatif si 𝑓 ( 𝑥) < 0 pour tout 𝑥 dans 𝐼.