Sans Valeur Ou Sans Efficacité Réelle. Donner Une Forme « Hexagonale » À Un Mot. Ici vous trouvez la solution exacte à CodyCross Règles Particulières Dans Un Domaine pour continuer dans le paquet Faune Et Flore Groupe 168 Grille 3.. Règles particulières dans un domaine
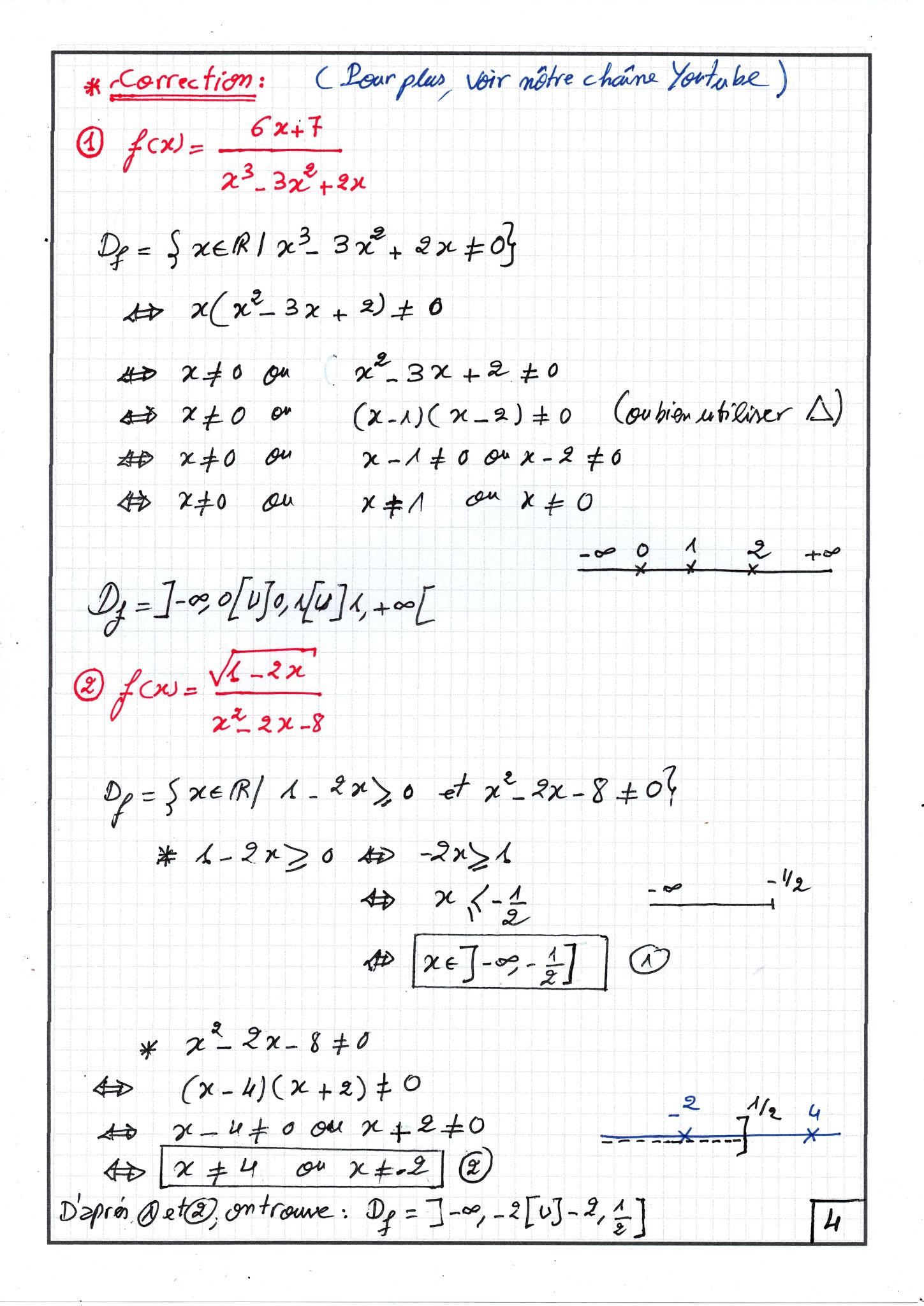
![Domaine de Définition Fonction Logarithme Népérien 2 Bac SM S.ex [Exercice 9] YouTube Domaine de Définition Fonction Logarithme Népérien 2 Bac SM S.ex [Exercice 9] YouTube](https://i.ytimg.com/vi/xR1yPH8Ef8g/maxresdefault.jpg)
Domaine de Définition Fonction Logarithme Népérien 2 Bac SM S.ex [Exercice 9] YouTube

Vidéo question Déterminer le domaine de définition de fonctions rationnelles Nagwa

Comment mettre un poste dans un domaine ? Labotech

Las 5 reglas principales de seguridad Nalu Souls

Domaine De Definition D Une Fonction Pdf Cours Exerci vrogue.co

Domaine de définition d'une fonction

Domaine de définition d'une fonction numérique (avec une valeur absolue) YouTube

Domaine de définition d'une fonction de deux variables YouTube

Vidéo 1 Identifier un Domaine de définition YouTube

Regles A La Maison A Imprimer

Moler Asesinar rebanada regle particuliere dans un domaine acampar césped átomo

Les Règles De La Maison Les Règles De La Maison Poster Mathilde Cabanas Design Teen Idées de

analyse mathématique ep1 le domaine De Définition 3 YouTube

domaine de définition d'une fonction rationnelle

Qu'estce Qu'un Nom De Domaine ? Guide de Débutant

Domaine de définition d'une fonction

Types de domaines Exemples des niveaux et extensions de domaines IONOS

Une approche pratique des services de domaine Active Directory, partie 1 Guide de l'utilisateur

Règle particulière Mettre un tiret dans mon nom de domaine

Devenir un expert dans son domaine la règle des 10 000 heures YouTube
En ce qui concerne le domaine privé, celui-c bénéficie d'une définition « par la négative » ; en effet, il s'agit de l'ensemble des biens qui ne relèvent pas du domaine public de la personne publique (L. 2211-1 du CG3P). Autrement dit : tout ce qui n'est pas incorporé au domaine public relève du domaine privé de la personne.. Si l'appartenance au domaine privé permet une relative flexibilité de gestion, les biens qui appartiennent au domaine public, au contraire, sont protégés. Ils sont ainsi inaliénables et imprescriptibles. Toutefois, la commune peut organiser leur occupation par des tiers, selon des mécanismes bien précis, et pour des usages limités.