Je kan afwisselen en er blijft nooit iemand alleen achter. Bij een trio is dat wel. Dat is heel awkward. Het is heel interessant om een kwartet met twee koppels te doen. Je hebt dan geen last van een 'machtsverhouding.' Omdat je nooit alleen achterblijft voel je je gelijkwaardiger. Dat vind ik heel prettig.'' Wat maakt een goed trio?. Spreek ook met elkaar een signaal af zodat je, gedurende de avond, kunt laten dat je je oncomfortabel voelt. 3. Comfortabel. Om klaar te zijn voor een trio, is het belangrijk dat jullie zonder gêne over seks kunnen praten. Alles is bespreekbaar en je voelt je volledig op je gemak bij je partner.

Een Breuk Vereenvoudigen Rekenen Met Breuken My XXX Hot Girl

Hoe Zet Je Een Filmpje In Je Powerpoint

Procenten Berekenen Hoe Doe Je Dat Uitleg Tips En Oefeningen Porn Sex Picture

Hoe spaar je voor een sabbatical een 3 stappenplan Artofit

Hoe Bereken Je Een Zijde In Een Rechthoekige Driehoek Met De Sinus My XXX Hot Girl

Hoe bereken je procenten met een verhoudingstabel?

HOE REGEL JE EEN REGELDAG? SuperSaar Vlog 073 YouTube

Zo regel je een trio als man

Hoe regel je een TipOn systeem bij? YouTube

Tekst inspringen en uitlijsten

Werkwoorden vervoegen aan de hand van 't kofschip Downloadbaar lesmateriaal KlasCement

Hoe regel je goede thuis? YouTube

REGELT HIJ EEN TRIO😳🤤 jakebudebudeh 📍 GRONINGEN vlog74 YouTube

Hoe regel je het geld krijg je zakgeld als thuisblijfmoeder? Het Moederfront

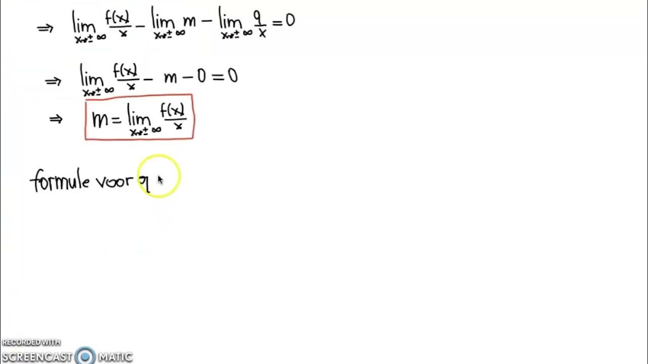
Schuine asymptoot formules van Cauchy YouTube

Onderwijs en zo voort..... 2159. Leespromotie Hoe kies je een boek

hoe mag ik jou begroeten? Schoolpsychologie, Onderwijs posters, Lesgeven tips

Lijdend voorwerp Taal posters, Taal, Spellingsregels

Werkwoorden Frans

ACROSPORT Acro Yoga Poses, Partner Yoga Poses, Acro Dance, Bikram Yoga, Kundalini Yoga, Yin Yoga
In het radio programma 'Test Je Vriend' op Radio 538. Voor de laatste aflevering had de presentator Mark nog een uitsmijter paraat. Inbeller Denise probeerde haar beste vriendin Esmee over te halen om een trio te doen met een jongen. Ze had hem via Tinder leren kennen. Esmee twijfelt aanvankelijk maar gaat er toch in mee.. Ask a friend. Misschien heb jij wel vrienden om je heen die ook wel openstaan voor een trio. Pas wel op: een trio met een bekende neemt een paar risico's met zich mee.. Zorg er ook voor dat je het rustig brengt. Het kan namelijk zo zijn dat hij of zij dit helemaal niet ziet zitten. Misschien kent deze persoon wel iemand anders die ervoor open.